Ben McDonough

About

Your Image
Physics grad student @ CU Boulder
e: first.last@colorado.edu
I am a second-year grad student in the Physics Department at the University of Colorado, Boulder working with Prof. Andrew Lucas's group. I am a mathematical physicist who is fascinated by the connection between quantum computing and emergent phenomena in physics. My research focuses on quantum dynamics, exotic quantum phases of matter, and quantum complexity. I am a Linux fanatic and a computer hobbiest. In my free time I like playing basketball, rock-climbing, and playing the flute. I also enjoy language learning, and I speak Spanish fluently and Hindi proficiently.
Last updated: 12-13-2025

Research

Limitations on generalized CSS codes for non-Abelian groups

Your Image
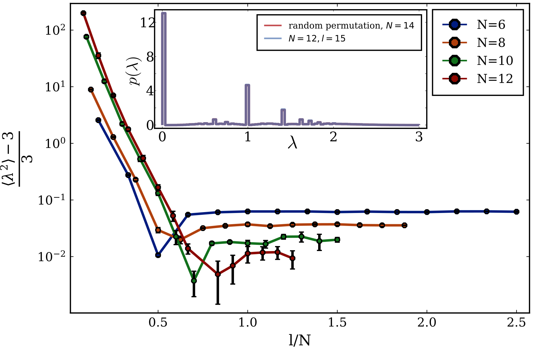
The success of quantum error correction is largely based on the structure of an Abelian group; this admits constructions of quantum codes based on classical ones, tools for combining quantum codes such as the hypergraph product, and the mathematical machinery of homology. However, in the case of non-Abelian groups, all known examples are essentially small modifications of the Kitaev quantum double model. With my collaborators Jian-Hao (Sergio) Zhang and Andrew Lucas, we are exploring this connection and developing constraints on quantum error correction with non-Abelian groups. In particular, we find that without a special group structure, these codes are indelibly attached to 2D spaces, and we apply recent results from graph theory to show that this greatly limits their code parameters. Paper forthcoming in the next few months!

A rigorous theory of prethermal MBL signatures in any spatial dimension

Your Image
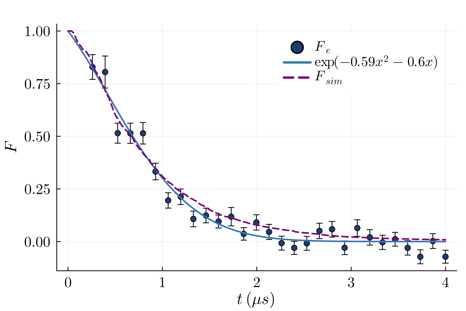
Disorder can have a profound affect on quantum systems; while electrons in a disordered landscape are known to localize, it has largely remained unclear whether interactions spoil this effect. There are few rigorous results about so-called "many-body localization", and those that exist are confined to 1-dimensional systems. Meanwhile, improvements in quantum simulation technology have enabled quantum signatures of MBL to be observed in 2-dimensional systems. With my collaborators Prof. Andrew Lucas and Marius Lemm, we demonstrate for the first time that disordered quantum systems in any spatial dimension exhibit the phenomenology of many-body localization to very long times. The manuscript can be found here!

Novel Lieb-Robinson bounds and exponential-in-volume tails

Your Image
Lieb-Robinson bounds quantify the speed at which information can propagate through matter with local interactions. With Prof. Andrew Lucas and collaborators Chao Yin and Carolyn Zhang, I am working on developing novel Lieb-Robinson bounds for applications in quantum computing and condensed matter physics, such as simulation complexity and spontaneous symmetry breaking phases. The manuscript is now available here! Update: now published by PRX Quantum.

Crossover between classical and quantum information dynamics in operator entanglement spectrum

Your Image
Chaotic quantum dynamics are characterized by operator spreading and operator scrambling, where operators in the Heisenberg picture evolve to fill the dynamical lightcone and appear suitably random. This process is quantified by the operator entanglement spectrum. In collaboration with Professors Thomas Iadecola, Justin Wilson, and Claudio Chamon, I found that the operator entanglement spectrum discriminates between classical information chaos and quantum information chaos, and also creates a bridge between the two. A preprint is now available on ArXiv here. This work was supported by the DOE as part of the 2024 SULI program.

Benchmarking with quantum chaos

Your Image
Chaotic quantum evolution produces states with a ``speckle pattern," referring to a concentration of the measurement probabilities around a small number of outcomes. This is the well-known Porter-Thomas distribution. The sensitivity of these speckles to noise provide a tool for characterizing the fidelity of quantum simulators. Working at QuEra Computing Inc. in the summer of 2023, I designed and carried out benchmarking experiments to characterize the Aquila quantum simulator using quantum chaos. I also developed a noise modelling and simulation toolkit to add to the Bloqade toolchain. The code is publicly available here and an in-depth tutorial may be found here.

Scalable quantum error mitigation

Your Image
Near-term quantum computers do not yet feature error correction and suffer from noise that makes longer computations difficult, but they can still be useful. Working with Prof. Peter Orth and collaborators from the Unitary Fund Nathan Shammah, Misty Wahl, Nate Stemen, and William Zeng, I developed a novel method for extracting noise-mitigated expectation values from noisy quantum computers. This method, based on the restricted connectivity of quantum processors, includes a scalable noise tomography process and a low-overhead error mitigation scheme. I also developed a Python package for automating this process, and the code is available for use here. This method was employed by IBM in a significant experiment in the summer of 2023. I was honored to present this work at the IEEE SC 22 HPC conference in Dallas. The paper can be found here.

Projects

Group Cohomology and the Topology of a Classifying Space

Your Image
Group cohomology can be developed entirely algebraically in terms of derived functors. But historically, the topological notion of homology as a way of detecting "holes" in topological spaces came first. How are these two notions connected? In this review, completed as a final project for Homological Algebra, instructed by Prof. Sasha Gorokhovsky, Noah Welikson and I build up the basic theory of classifying spaces and cellular homology which furnishes this connection and derive some interesting consequences. We also discuss homology with coefficients in a local system as a way to recover a non-trivial G-module structure from a topological space.

Čech cohomology: categorical limits, axioms, and continuity

Your Image
Among the homology and cohomology theories developed in the late 20's and early '30s to assign topological invariants to ever-more complicated topological spaces, the Čech theory stands out for its nice properties. It is a beautiful construction that illustrates concepts from category theory, including categories of functors and limit cones, in an intuitive way. This review, written as a final project for Topology II instructed by Prof. Markus Pflaum, serves as an introduction to these concepts and an overview of the Čech cohomology theory.

Complexity of quantum dynamics: Where are we with RUC sampling?

Your Image
From Google's 2019 quantum supremacy experiment to the more recent one in 2024, sampling from the output distribution of random unitary circuits has been the primary method for claiming supremacy over the computational power of classical computers. However, improvements in classical algorithms over the last 7 years have called into question whether this is actually a meaningful demonstration of quantum advantage. In this review paper, written as a final paper for Quantum Dynamics, instructed by Prof. Rahul Nandkishore, I give a basic overview of what is currently known about the complexity of random unitary circuit sampling, and what remains to be proven.

The Berry Phase: transport and holonomy in physics

Your Image
A review of the theory of the Berry phase I wrote for my solid state physics class at CU Boulder, taught by Prof. Rahul Nandkishore. The review covers the basics of gauge theory including fiber bundles and holonomy, and explores the more general context of transport in which geometric phases arise.

Lie Algebra Cohomology

Your Image
I wrote my senior project for completion of the Physics major about classifying projected-entangled pair states, which got me interested in the role of cohomology in physics. This led me to write a review for my undergraduate course Lie Groups and Representation Theory on Lie Group cohomology, with an eye for the category-theoretic underpinnings.

The Peter-Weyl Theorem: harmonic analysis and representation theory of compact groups

Your Image
My senior project for completion of the Mathematics major was a complete proof of the Peter-Weyl theorem, which underlies the remarkable connection between representation theory of compact groups and analysis. I provide a proof which I find quite elegant; it centers on the algebraic properties of the representative functions and the compactness of Hilbert-Schmidt operators. No approximate identities needed!

Bosonic Qiskit Textbook

I worked with Dr. Kevin Smith to design a Qiskit-textbook-like introduction to continuous-variable quantum computing for the Bosonic Qiskit package. This strives to be a guide for computer scientists and non-physicists who are mathematically inclined. It introduces the quantum harmonic oscillator abstractly using the ladder operators, explains common operations such as SNAP and displacement with detailed derivations, and includes a in-depth description of the Wigner function and its emergence from Weyl quantization. The guide can be found here.

Superconducting circuit design and quantization

Your Image
After using the ScQubits Python package for some research into superconducting circuits (resulting in these two tutorials tutorial 1, tutorial 2,) I realized it would be nice to have a GUI to design and quantize superconducting circuits. I worked with Prof. Jens Koch to create a GUI extension to ScQubits. The code is available here, and the PyPI package can be found here.

Community

Quantum Coalition

Your Image
The Quantum Coalition is an organization of student quantum computing groups at 9 different universities around the US and IzTech in Turkiye. Educating the quantum workforce is essential to building a future where quantum information technology plays a role in many different areas of society and industry. The Quantum Coalition aims to be the first step in this pipeline through supporting grassroots efforts by passionate undergraduate students to spread enthusiasm and educate their peers about QIS. I was asked to direct QC Hack 2021, and I founded the Quantum Coalition after realizing the outsized role a student like myself could play in this mission. I gave an interview to IBM about this afterward. Since then, we have planned several unique events, including the Symposium for Quantum Undergraduate Inquiry and Discovery (SQUID,) which was an opportunity for undergrads to share their research in QIS and educate their peers, and the Quantum Research and Industry Skills Exchange (QRISE,) which was a six-week-long online event that brought industry proposed research projects to a worldwide audience. A recap of these events can be found on our YouTube channel.

Yale undergraduate Quantum Computing Club

Your Image
In the 2022-2023 year, I was president of Yale's quantum computing club, the YuQC, where I grew the club from just a handful of members the previous year to over 50. I organized community events, such as the Qiskit Fall Fest, and I led two project groups. One of these project groups was called QBasics, where along with graduate student Katie Chang, I designed and gave short lectures on introductory quantum computing topics, made activites to accompany the lectures, and posted solution. The typed notes are a work-in-progress.